欢迎来到报考大学!
  • 微信
  • |
  • 微博
  • |
  • 在线客服
  • |
  • APP下载
  • |
  • 客服热线: 400-100-0233

温馨提示

网页暂不支持该功能,请打开报考大学APP,使用该功能

温馨提示

你所在考区由于2020年高考首次实行新高考政策,VIP暂不适用

温馨提示

北京、天津、山东、海南考区由于新高考政策的原因,暂不开放该功能

首页 > 资讯 >  高考攻略  > 正文

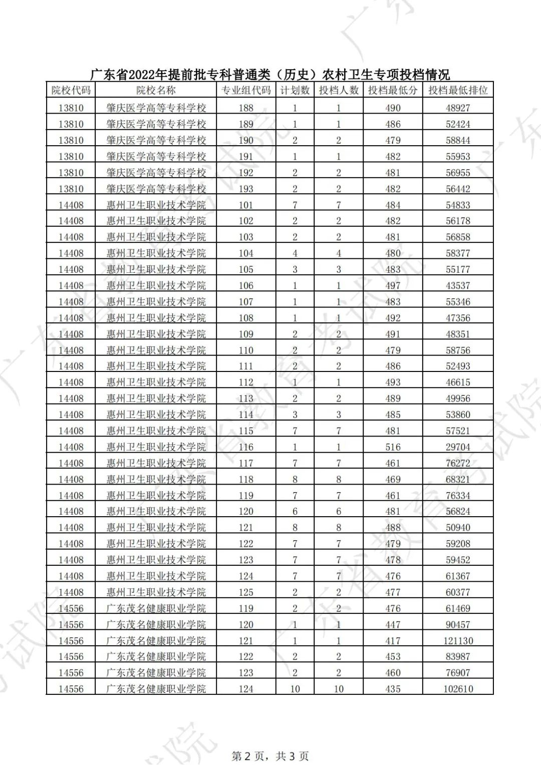
546分上专科?广东省提前批专科已公布!

图片图片图片图片图片图片图片图片图片图片图片图片
热门推荐
  • 暂无数据

密码登录

手机短信登录

手机号码
密码
30天自动登录
登录

加入报考大学

助你考得好,更能报得好
手机号码
验证码
设置6~18位密码
我已阅读并接受 用户协议隐私政策
注册

报考大学已全面升级,将提供更全面的院校信息与志愿填报服务,请先完善个人信息。

立即完善个人信息

欢迎进入报考大学

请选择你的考区所在地

开始使用报考大学
tel

全国咨询电话

400-100-0233

售前客服QQ 售后客服QQ
微信公众号
wx
扫一扫,最新报考资讯
微信公众号
app
扫一扫,下载手机APP
拖动左边滑块完成上方拼图